河北:锅炉大气污染物排放标准 (征求意见稿)
日前,河北印发《锅炉大气污染物排放标准 (征求意见稿)》。标准适用于以燃煤、燃油、燃气、燃生物质为燃料的单台出力65t/h以下蒸汽锅炉以及65t/h以上非发电蒸汽锅炉、各种容量的热水锅炉及有机热载体锅炉、各种容量的层燃炉和抛煤机炉。大气污染物排放限值执行颗粒物10mg/m3、二氧化硫35mg/m3、氮氧化物50mg/m3。
2019年11月1日起,在用锅炉执行表1规定的大气污染物排放限值;自本标准实施之日起,新建锅炉执行表1规定的大气污染物排放限值。
表1 大气污染物排放浓度限值
单位:mg/m3(烟气黑度除外)
|
污染物项目 |
燃煤锅炉 |
燃油锅炉 |
燃气锅炉 |
燃生物质 |
监控位置 |
|
颗粒物 |
10 |
5 |
5 |
10 |
烟囱或烟道 |
|
二氧化硫 |
35 |
10 |
10 |
35 |
|
|
氮氧化物(以NO2计) |
50 |
30 |
30 |
80 |
|
|
汞及其化合物 |
0.05 |
— |
— |
0.05 |
|
|
一氧化碳 |
|
|
|
200 |
|
|
烟气林格曼黑度(级) |
≤1 |
烟囱排放口 |
|||
锅炉大气污染物排放标准
(征求意见稿)
前言
为贯彻《中华人民共和国环境保护法》、《中华人民共和国大气污染防治法》等法律、法规,保护环境,防治污染,促进锅炉生产、运行和污染治理技术的进步,制定本标准。
本标准规定了锅炉大气污染物排放限值、监测和管控要求。
锅炉排放的水污染物、环境噪声适用相应的国家污染物排放标准,产生固体废物的鉴别、处理和处置适用国家固体废物污染控制标准。
本标准由河北省环境保护厅提出。
本标准起草单位:河北省环境工程评估中心、河北科技大学、河北奇正环境科技有限公司。
本标准主要起草人:
本标准由河北省环境保护厅负责解释。
锅炉大气污染物排放标准
1、适用范围
本标准规定了锅炉大气中颗粒物、二氧化硫、氮氧化物、汞及其化合物的最高允许排放浓度限值和烟气黑度限值,同时还规定了燃煤锅炉房无组织粉尘排放控制限值。
本标准适用于以燃煤、燃油、燃气、燃生物质为燃料的单台出力65t/h以下蒸汽锅炉以及65t/h以上非发电蒸汽锅炉、各种容量的热水锅炉及有机热载体锅炉、各种容量的层燃炉和抛煤机炉。
使用型煤、石油焦、油页岩、煤矸石、水煤浆、重油、渣油等燃料的锅炉,参照本标准中“燃煤锅炉”的污染排放控制要求执行;使用轻柴油、醇基燃料(如甲醇、乙醇)等其他液体燃料的锅炉,参照本标准中“燃油锅炉”的污染排放控制;使用高炉煤气、焦炉煤气及其他气体燃料的锅炉,参照本标准中“燃气锅炉”的污染排放控制。
本标准不适用于以生活垃圾、危险废物及其他非危险废物为燃料的锅炉。
本标准适用于在用锅炉大气污染物的排放管理,以及锅炉建设项目的环境影响评价、环境保护设施设计、竣工环境保护验收及其投产后的大气污染物排放管理。
本标准适用于法律允许的污染物排放行为;新设立污染源的选址和特殊保护区域内现有污染源的管理,按照《中华人民共和国大气污染防治法》、《中华人民共和国水污染防治法》、《中华人民共和国海洋环境保护法》、《中华人民共和国固体废物污染环境防治法》、《中华人民共和国放射性污染防治法》、《中华人民共和国环境影响评价法》等法律、法规、规章的相关规定执行。
2、规范性引用文件
下列文件中的条款通过本标准的引用而成为本标准的条款。凡是不注日期的引用文件,其最新版本(包括修改单)适用于本文件。
GB3095环境空气质量标准
GB5648锅炉烟尘测试方法
GB13271锅炉大气污染物排放标准
GB/T16157固定污染源排气中颗粒物测定与气态污染物采样方法
HJ/T42固定污染源排气中氮氧化物的测定紫外分光光度法
HJ/T43固定污染源排气中氮氧化物的测定盐酸萘乙二胺分光光度法
HJ/T44固定污染源排气中一氧化碳的测定非色散红外吸收法
HJ/T56固定污染源排气中二氧化硫的测定碘量法
HJ/T57固定污染源排气中二氧化硫的测定定电位电解法
HJ/T75固定污染源烟气排放连续监测技术规范(试行)
HJ/T76固定污染源烟气排放连续监测系统技术要求及检测方法(试行)
HJ/T373固定污染源监测质量保证与质量控制技术规范(试行)
HJ/T397固定源废气监测技术规范
HJ/T398固定污染源排放烟气黑度的测定林格曼烟气黑度图法
HJ543固定污染源废气汞的测定冷原子吸收分光光度法
HJ629固定污染源废气二氧化硫的测定非分散红外吸收法
HJ692固定污染源废气氮氧化物的测定非分散红外吸收法
HJ693固定污染源废气氮氧化物的测定定电位电解法
HJ836固定污染源废气低密度颗粒物的测定重量法
DB13/T2376固定污染源废气颗粒物的测定β射线法
《污染源自动监控管理办法》(国家环境保护总局令第28号)
《环境监测管理办法》(国家环境保护总局令第39号)
3、术语和定义
下列术语和定义适用于本标准。
3.1锅炉
利用燃料燃烧释放的热能或其他热能加热热水或其他工质,以生产规定参数(温度,压力)和品质的蒸汽、热水或其他工质的设备。
3.2在用锅炉
本标准实施之日前,已建成投产或环境影响评价文件已通过审批的锅炉。
3.3新建锅炉
本标准实施之日起,环境影响评价文件通过审批的新建、改建和扩建的锅炉。
3.4有机热载体锅炉
以有机质液体作为热载体工质的锅炉。
3.5标准状态
锅炉烟气在温度为273K,压力为101325Pa时的状态,简称“标态”。本标准规定的排放浓度均指标准状态下干烟气的数值。
3.6大气污染物排放浓度
标准状况下,烟囱干燥排气中大气污染物任何1h质量浓度平均值,单位为mg/m3。
3.7烟囱高度
从烟囱(或锅炉房)所在的地平面至烟囱出口的高度。
3.8氧含量
燃料燃烧后,烟气中含有的多余的自由氧,通常以干基容积百分数来表示。
4、大气污染物排放控制要求
4.1 2019年11月1日起,在用锅炉执行表1规定的大气污染物排放限值;自本标准实施之日起,新建锅炉执行表1规定的大气污染物排放限值。
表1 大气污染物排放浓度限值
单位:mg/m3(烟气黑度除外)
|
污染物项目 |
燃煤锅炉 |
燃油锅炉 |
燃气锅炉 |
燃生物质 |
监控位置 |
|
颗粒物 |
10 |
5 |
5 |
10 |
烟囱或烟道 |
|
二氧化硫 |
35 |
10 |
10 |
35 |
|
|
氮氧化物(以NO2计) |
50 |
30 |
30 |
80 |
|
|
汞及其化合物 |
0.05 |
— |
— |
0.05 |
|
|
一氧化碳 |
|
|
|
200 |
|
|
烟气林格曼黑度(级) |
≤1 |
烟囱排放口 |
|||
4.2 燃煤锅炉配套堆场应采取封闭措施,燃煤锅炉房无组织粉尘浓度执行表2的规定。
表2 燃煤锅炉房无组织粉尘排放控制限值
单位: mg/m3
|
污染物项目 |
限值 |
|
无组织粉尘(监控点与上风向参照点浓度差值) |
0.2 |
4.3 每个燃煤锅炉房只能设一根烟囱,烟囱高度应根据锅炉房装机总容量,按表3规定执行,燃油、燃气锅炉烟囱不低于8米,锅炉烟囱的具体高度按批复的环境影响评价文件确定。新建锅炉房的烟囱周围半径200米距离内有建筑物时,其烟囱还应高出最高建筑物3米以上。
表3 燃煤锅炉房烟囱最低允许高度
|
锅炉房装机总容量 |
MW |
<0.7 |
0.7—<1.4 |
1.4—<2.8 |
2.8—<7 |
7—<14 |
≥14 |
|
t/h |
<1 |
1—<2 |
2—<4 |
4—<10 |
10—<20 |
≥20 |
|
|
烟囱最低允许高度 |
m |
20 |
25 |
30 |
35 |
40 |
45 |
4.4 脱硝设备的设计应采取必要措施确保反应物混合均匀,反应完全,减少有毒有害或可能对环境空气质量造成直接或间接影响的大气污染物排放。
采用选择性催化还原(SCR)工艺的脱硝设备,氨逃逸质量浓度不应高于2.3mg/m3。
采用选择性非催化还原(SNCR)工艺的脱硝设备,氨逃逸质量浓度不应高于7.6mg/m3。
4.5 不同时段建设的锅炉,若采用混合方式排放烟气,且选择的监控位置只能监测混合烟气中的大气污染物浓度,应执行各个时段限值中最严格的排放限值。
5、污染物监测要求
5.1 污染物采样与监测要求
5.1.1 锅炉使用企业应按照有关法律和《环境监测管理办法》等规定,建立企业监测制度,制定监测方案,对污染物排放状况开展自行监测,保存原始监测记录,并公布监测结果。
5.1.2 锅炉使用企业应按照环境监测管理规定和技术规范的要求,设计、建设、维护永久性采样口,采样测试平台。
5.1.3 对锅炉使用企业排放废气的采样,应根据监测污染物的种类,在规定的污染物排放监控位置进行,有废气处理设施的,应在该设施后监控。排气筒中大气污染物的监测按现行有关规定执行。
5.1.4 20t/h及以上蒸汽锅炉、14MW及以上热水锅炉,以及环境保护主管部门确定的大气污染物重点排污单位应安装污染物排放自动监控设备,并与环保部门联网,保证设备正产运行,按照有关法律和《污染源自动监控管理办法》的规定执行。
5.1.5 对锅炉大气污染物的监测,应按照HJ/T373有关规定进行监测质量保证和质量控制。
5.1.6 锅炉大气污染物排放浓度的测定采用表4所列的方法标准。
表4 锅炉大气污染物浓度测定方法标准
|
序号 |
污染物项目 |
方法标准名称 |
标准编号 |
|
1 |
颗粒物 |
锅炉烟尘测试方法 |
GB 5468 |
|
固定污染源排气中颗粒物测定与气态污染物采样方法 |
GB/T 16157 |
||
|
固定污染源废气 低浓度颗粒物测定 重量法 |
HJ836 |
||
|
固定污染源废气 颗粒物的测定 β射线法 |
DB13/T2376 |
||
|
2 |
烟气黑度 |
固定污染源排放 烟气黑度的测定 林格曼烟气黑度图法 |
HJ/T 398 |
|
3 |
二氧化硫 |
固定污染源排气中二氧化硫的测定 碘量法 |
HJ/T 56 |
|
固定污染源排气中二氧化硫的测定 定电位电解法 |
HJ/T 57 |
||
|
固定污染源废气 二氧化硫的测定 非分散红外吸收法 |
HJ 629 |
||
|
4 |
氮氧化物 |
固定污染源排气中氮氧化物的测定 紫外分光光度法 |
HJ/T 42 |
|
固定污染源排气中氮氧化物的测定 盐酸萘乙二胺分光光度法 |
HJ/T 43 |
||
|
固定污染源废气 氮氧化物的测定 非分散红外吸收法 |
HJ 692 |
||
|
固定污染源排气 氮氧化物的测定 定电位电解法 |
HJ 693 |
||
|
5 |
汞及其化合物 |
固定污染源废气 汞的测定 冷原子吸收分光光度法 |
HJ 543 |
|
6 |
无组织粉尘 |
环境空气 总悬浮颗粒物的测定方法 重量法 大气污染物无组织排放监测技术导则 |
GB/T15432 HJ/T 55 |
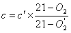
5.2 大气污染物基准氧含量排放浓度折算方法
实测的锅炉颗粒物、二氧化硫和氮氧化物排放浓度,必须按公式(1)折算为基准氧含量排放浓度。燃煤锅炉的基准氧含量按表5的规定执行。
表5 基准氧含量
|
锅炉类型 |
基准氧含量(O2)/% |
|
燃煤锅炉 |
9 |
|
燃油、燃气锅炉 |
3.5 |
................................................................ (1)
式中:
c ——大气污染物基准氧含量排放浓度,mg/m3;
c’ ——实测的大气污染物排放浓度,mg/m3;
O’2——实测的氧含量,%;
O2 ——基准氧含量,%。
6、标准的实施与监督
6.1 本标准由县级以上人民政府环境保护行政主管部门负责监督实施。
6.2 在任何情况下,企业均应遵守本标准的污染物排放控制要求,采取必要措施保证污染防治设施正常运行。各级环保部门在对企业进行监督性检查时,可以现场即时采样或监测结果,作为判定排污行为是否符合标准排放限值以及实施相关环境保护管理措施的依据。
6.3 本标准发布之日后,新制定或新修订的国家或地方(综合或行业)大气污染物排放标准中,污染物排放限值严于本标准的,按照从严要求的原则,执行相应的排放标准。
(来源:河北环保厅)



